Ответы
Ответ дал:
0
1) 27 учеников-30%
х учеников-100%
х=(27*100%)/30%=90 учеников
2) такой же вопрос
3) всего 60 вопросов
60-3=57 вопросов выучил
P=n/N
n=57
N=60
P=57/60=0.95
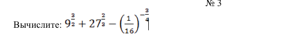
4)=(3^2)^3/2+(3^3)^2/3-(1/4^2)^(-3/4)=3^(2*3/3)+3^(3*2/3)-1/4^(-2*3/4)=3^3+3^2-(2^2)^3/2=27+9-2^3=36-8=28
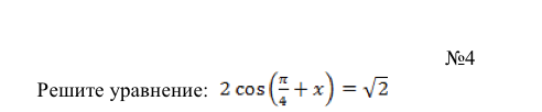
5)2cos(pi/4+x)=V2
cos(pi/4+x)=(V2)/2
x+pi/4=arccos(V2/2)+pi*n
x+pi/4=pi/4+pi*n
x=pi*n
х учеников-100%
х=(27*100%)/30%=90 учеников
2) такой же вопрос
3) всего 60 вопросов
60-3=57 вопросов выучил
P=n/N
n=57
N=60
P=57/60=0.95
4)=(3^2)^3/2+(3^3)^2/3-(1/4^2)^(-3/4)=3^(2*3/3)+3^(3*2/3)-1/4^(-2*3/4)=3^3+3^2-(2^2)^3/2=27+9-2^3=36-8=28
5)2cos(pi/4+x)=V2
cos(pi/4+x)=(V2)/2
x+pi/4=arccos(V2/2)+pi*n
x+pi/4=pi/4+pi*n
x=pi*n
Ответ дал:
0
ну а к 4 ответ
Ответ дал:
0
x=pi*n
Ответ дал:
0
спасибо
Ответ дал:
0
Yanaaleksandrov
Ответ дал:
0
понял все?
Вас заинтересует
3 года назад
3 года назад
8 лет назад
10 лет назад
10 лет назад