• Предмет: Алгебра
  • Автор: Adrug
  • Вопрос задан 11 лет назад

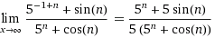
Помогите решить предел, вторую часть можно не смотреть. Это генератор выражения якобы решил.

Что я пробывал: лопиталить, применять 1 зам. предел. 

 

Приложения:

Ответы

Ответ дал: nelle987
0

1/5 конечно.

frac15limlimits_{ntoinfty}dfrac{5^n+5sin n}{5^n+cos n}=frac15limlimits_{ntoinfty}dfrac{1+frac{5sin n}{5^n}}{1+frac{cos n}{5^n}}=dfrac15dfrac{1+0}{1+0}=dfrac15

 

Генератор бы вам это решил, если бы вы предел брали не по х, а по n...

Вас заинтересует