1.Какую скорость будет иметь тело через 20 с от начала движения, если оно движется с ускорением равным 0,2 м/с ?
2. Через 25 с после начала движения спидометр автомобиля показал скорость движения 36 км/ч. С каким средним ускорением двигался автомобиль?
3. За 5 с скорость шарика возросла с 2 м/с до 5 м/с. Определить ускорение шарика.
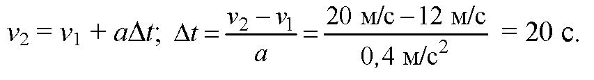
4. За какое время автомобиль двигаясь с ускорение 0,2 м/с^2 увеличит свою скорость с 10 м/с до 20 м/с ?
5. Велосипедист движется под уклон с ускорением 0,2 м/2^2. Какую скорость приобретает велосипедист через 10 с, если его начальная скорость равна 5 м/с ?
Ответы
Ответ дал:
0
1) По формуле скорости при равноускоренном движении:
v=v0+a*t. ( v -конечная скорость, v0-начальная скорость=0, а - ускорение, t -время) подставим:
v= 0 +0,2*20=4м/c.
2) 36 км/ч=36000/3600=10 м/сускорение=10:25=0,4 м/с в кв.
3) a = (U2-U1)/t
a=(5-2)/5 = 3/5 = 0,6 м/с 2 (НОМЕР 4 ВО ВЛОЖЕНИЯХ)
a=0.2v-?t=10v0=5Решение:a=v-v0/tv=a*v0+tv=0.2*5+10=10
v=v0+a*t. ( v -конечная скорость, v0-начальная скорость=0, а - ускорение, t -время) подставим:
v= 0 +0,2*20=4м/c.
2) 36 км/ч=36000/3600=10 м/сускорение=10:25=0,4 м/с в кв.
3) a = (U2-U1)/t
a=(5-2)/5 = 3/5 = 0,6 м/с 2 (НОМЕР 4 ВО ВЛОЖЕНИЯХ)
a=0.2v-?t=10v0=5Решение:a=v-v0/tv=a*v0+tv=0.2*5+10=10
Приложения:
Ответ дал:
0
браво!
Вас заинтересует
2 года назад
2 года назад
8 лет назад
8 лет назад
10 лет назад
10 лет назад