Ответы
Ответ дал:
0
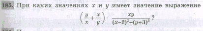
Знаменатель не может равняться нулю, следовательно,

Ответ дал:
0
Можешь по подробнее, я ей так Обьяснить не смогу
Ответ дал:
0
правило деления: на нуль делить нельзя.
(y/x), x≠0
x/y, y≠0
xy/((x-2)²+(y+3)²), (x-2)²+(y-3)²≠0
сумма положительных чисел -число положительное, ⇒данная дробь имеет смысл при любых значениях х и у.
ответ: выражение имеет значение при х∈(-∞;0)U(0;∞), y∈(-∞;0)U(0;∞)
(y/x), x≠0
x/y, y≠0
xy/((x-2)²+(y+3)²), (x-2)²+(y-3)²≠0
сумма положительных чисел -число положительное, ⇒данная дробь имеет смысл при любых значениях х и у.
ответ: выражение имеет значение при х∈(-∞;0)U(0;∞), y∈(-∞;0)U(0;∞)
Вас заинтересует
3 года назад
3 года назад
8 лет назад
8 лет назад
10 лет назад
11 лет назад
11 лет назад