• Предмет: Алгебра
  • Автор: NitPon
  • Вопрос задан 10 лет назад

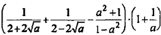
Необходимо подробное решение. Ответ дожен быть - (1).

Приложения:

Ответы

Ответ дал: kirichekov
0
решение во вложении-------------------------------------
Приложения:
Вас заинтересует