Ответы
                                            Ответ дал: 
                                                                                    
                                        
                                            
                                                
                                                
                                                
                                                    0
                                                
                                            
                                        
                                    
                                        Решение на рисунке, надеюсь все понятно)
                                    
                                                Приложения:
                    
                            
                                            Ответ дал: 
                                                                                    
                                        
                                            
                                                
                                                
                                                
                                                    0
                                                
                                            
                                        
                                    
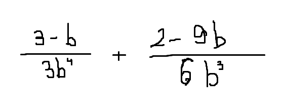
                                        (3-в)*6в³+(2-9в)*3в⁴  / 3в⁴*6в³  = 18в³-6в⁴+6в⁴-27в⁵  / 18в⁷ = 18в³-27в⁵ / 18в⁷ = 2в³-3в⁵ /2в⁷ = 2-3в² /2в⁴
                                    
                                                Приложения:
                    
                            Вас заинтересует
                
                        2 года назад
                    
                
                        7 лет назад
                    
                
                        7 лет назад
                    
                
                        10 лет назад
                    
                
                        10 лет назад
                    
                
                        10 лет назад