• Предмет: Алгебра
  • Автор: airdal
  • Вопрос задан 10 лет назад

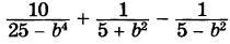
Задано выражение:

Докажите, что значение данного выражения положительно при всех допустимых значениях переменной.

Приложения:

Ответы

Ответ дал: Haron4ik
0
 frac{10}{25-b^{4}}+ frac{1}{5+b^{2}} - frac{1}{5-b^{2}} = frac{10}{(5+b^{2})(5-b^{2})}+ frac{1}{5+b^{2}} - frac{1}{5-b^{2}} = \ =frac{10}{(5+b^{2})(5-b^{2})}+ frac{5-b^{2}}{(5+b^{2})(5-b^{2})} - frac{5+b^{2}}{(5-b^{2})(5+b^{2})}= frac{10+5-b^{2}-5-b^{2}}{(5+b^{2})(5-b^{2})} = \ =  frac{10-2b^{2}}{(5+b^{2})(5-b^{2})} = frac{2}{5+b^{2}}
Любое число в квадрате положительно, поэтому это выражение будет принимать только положительные значения.
Вас заинтересует