• Предмет: Алгебра
  • Автор: allodsr123
  • Вопрос задан 10 лет назад

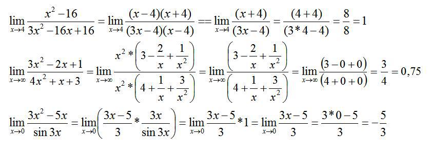
ХЕЛЛЛЛЛППП!!!!!!!!!!!!!!!!!!!!нужно решить 1.2.3.

Приложения:

Ответы

Ответ дал: IUV
0
ответы 1; 0,75; -5/3

Приложения:
Вас заинтересует