Ответы
Ответ дал:
0
Все примеры решаются "крест на крест". Если непонятно - пиши в комментариях.
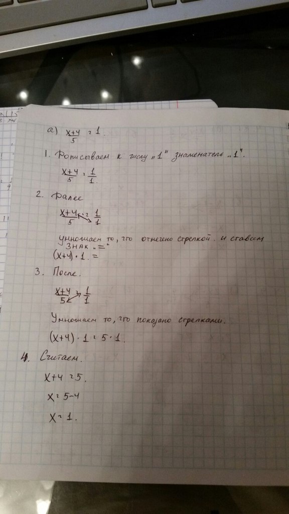
4.8. а)


б)
2x - 3 = -15
2x = -12
x= -6
в)
x-7 = -6
x = 1
г)
3x + 1 = 16
3x = 15
x = 5
4.9 в)
20x - 30 = 45
20x = 75
x = 3,75
г)
7x + 21 = 6x - 4
7x - 6x = -25
x = -25
4.8. а)
б)
2x - 3 = -15
2x = -12
x= -6
в)
x-7 = -6
x = 1
г)
3x + 1 = 16
3x = 15
x = 5
4.9 в)
20x - 30 = 45
20x = 75
x = 3,75
г)
7x + 21 = 6x - 4
7x - 6x = -25
x = -25
Приложения:
Ответ дал:
0
Попробуй задать вопрос второй раз. Лично у меня фото отображается и открывается.
Ответ дал:
0
я зайду но снова вопрос и жду ответа от тебя
Ответ дал:
0
ой
Ответ дал:
0
я снова задал вопрос
Ответ дал:
0
жду ответа
Вас заинтересует
3 года назад
3 года назад
8 лет назад
10 лет назад
10 лет назад