• Предмет: Математика
  • Автор: NellychkaA
  • Вопрос задан 10 лет назад

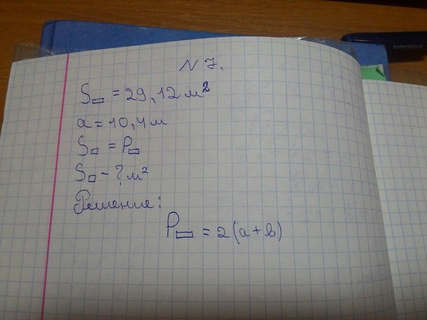
Математика 6 класс. Очень срочно! Буду признательна. Заранее спасибо.

Приложения:

Ответы

Ответ дал: drborman2001
0
S=a*b
b=29,12:10,4=2,8
P=2(a+b)=2(10,4+2,8)=26,4


Ответ дал: NellychkaA
0
огромное спасибо. очень выручили)
Ответ дал: drborman2001
0
незачто, надеюсь правильно
Вас заинтересует