Ответы
Ответ дал:
0
исходное не пишу
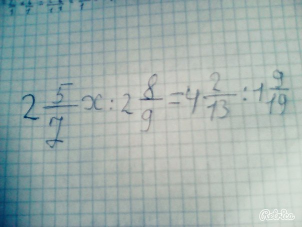
(19х/7):26/9=54/13:28/19
19х/7=(26*54*19)/(9*13*28)
19х/7=57/7
х=(7*57)/(19*7)=3
х=3
(19х/7):26/9=54/13:28/19
19х/7=(26*54*19)/(9*13*28)
19х/7=57/7
х=(7*57)/(19*7)=3
х=3
Вас заинтересует
3 года назад
8 лет назад
8 лет назад
10 лет назад
10 лет назад
11 лет назад