• Предмет: Геометрия
  • Автор: lena0707
  • Вопрос задан 11 лет назад

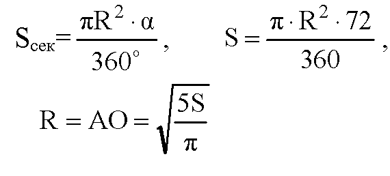
Площадь сектора с центральным углом 72 градуса равна S. Найдите радиус сектора.
Решение
Пусть R - радиус окружности. Тогда S = ___ * ____, откуда R^2 = ______ = _______ и R = ______.

 

На рисунке дуга AmB равна 150 градусам, а радиус R равен 2 см. Найдите площадь закрашенного сегмента.
Решение.
Пусть S - площадь сегмента AmB, S1 - площадь сектора OAmB, S2 - площадь треугольника АОВ, тогда S = _____ - ______.
S1 = пR^2/360 * _____ = _____ * R^2 = ____
S2 = 1/2 ОА * ОВ = ______ = _____ * R^2 = _____
S = ____ - ____ = _____

 

 

Ответы

Ответ дал: Юлька2033
0

Решение:
 Сейчас я тебе его отправлю в виде картинки, а то так не получается



 

Приложения:
Вас заинтересует