Ответы
Ответ дал:
0
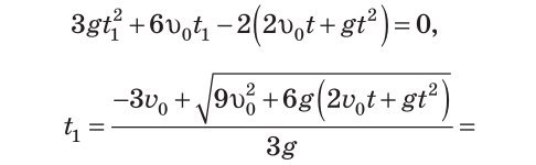
там нечего расписывать там применяется формула для вычисления корней квадратного уравнения со вторым четным коэффициентом
X12= - b/2 +- √(b/2)² - a*c/a
очень жаль что математики ( слабые) учат вычислять только через дискриминант
а надо знать не одну формулу а 3
очень нужны для ЕГЭ
X12= - b/2 +- √(b/2)² - a*c/a
очень жаль что математики ( слабые) учат вычислять только через дискриминант
а надо знать не одну формулу а 3
очень нужны для ЕГЭ
Ответ дал:
0
и вообще КАСАТКИНА нужна для ЕГЭ а не для ОГЭ
Ответ дал:
0
Скажи это нашему учителю)
Ответ дал:
0
так там на обложке написано
СПРАВОЧНИК ПО ИНТЕНСИВНОЙ ПОДГОТОВКЕ К ЕГЭ
СПРАВОЧНИК ПО ИНТЕНСИВНОЙ ПОДГОТОВКЕ К ЕГЭ
Ответ дал:
0
Ну вообще нам задают задачи, которые мы можем решать, я все остальное решил, а тут с формулой затупил(
Все равно это тренировка и к ОГЭ тоже
Все равно это тренировка и к ОГЭ тоже
Ответ дал:
0
конечно
Вас заинтересует
3 года назад
8 лет назад
8 лет назад
10 лет назад
10 лет назад
11 лет назад