• Предмет: Математика
  • Автор: Аноним
  • Вопрос задан 10 лет назад

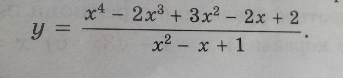
Объясните ПОЖАЛУЙСТА как найти наименьшее значение этой функции. (фото во вложении)

Приложения:

Ответы

Ответ дал: nKrynka
0
Решение
Найти наименьшее значение этой функции
y = (x^4-2*x^3+3*x^2-2*x+2)/(x^2-x+1)
Решение во вкладыше
Приложения:
Ответ дал: Аноним
0
Ответ верный конечно, но мы еще производную не прошли((( Нам сказали без нее решить.. Не могли бы вы объяснить, пожалуйста?
Вас заинтересует