Ответы
Ответ дал:
0
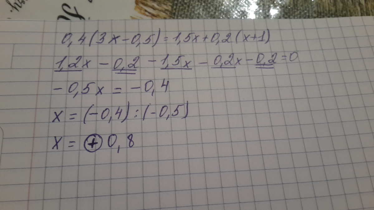
0,4(3x-0,5)=1,5x+0,2(1+x)
1,3x-0,2=1,5x+0,2+0,2x
1,3x-1,5x-0,2x=0,2+0,2
-0,4x=0,4
x=-1
1,3x-0,2=1,5x+0,2+0,2x
1,3x-1,5x-0,2x=0,2+0,2
-0,4x=0,4
x=-1
Ответ дал:
0
У вас там одна ошибка. 0,4×3х = 1,2 . А у вас там 1,3х
Ответ дал:
0
И ответ должен быть -0,8
Ответ дал:
0
на самом деле там вот какой пример 0,4 (3x-0,5)=1,5x+0,2 (x+1) я просто слегка ошиблась
Ответ дал:
0
Даже если 0,2(х+1) то все равно ответ будет -0,8. Там только места поменялись. Это ничего не меняет)))
Ответ дал:
0
Хорошо ))
Ответ дал:
0
Вот)))))))))))))))))))))))
Приложения:

Вас заинтересует
2 года назад
2 года назад
7 лет назад
10 лет назад
10 лет назад
10 лет назад
10 лет назад