ДАЮ 25 БАЛЛОВ!!! Решите, что сможете, прошу. Всего 14 примеров. Помогите. Если знаете, как решить всё, прошу решите. Буду очень благодарна.
Приложения:

Ответы
Ответ дал:
1
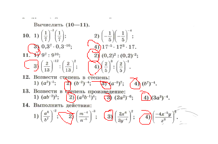
0,3⁷ * 0,3⁻¹⁰ =0,3⁻³=1/0,3³=1/0,027
17⁻⁵*17³*17=17⁻¹=1/17
0,2² / 0,2⁻²=0,2⁴=0,0016
(в⁻²)⁻⁴=в⁸
(в⁷)⁻⁴=в⁻²⁸
(а⁻³)⁷=а⁻²¹
17⁻⁵*17³*17=17⁻¹=1/17
0,2² / 0,2⁻²=0,2⁴=0,0016
(в⁻²)⁻⁴=в⁸
(в⁷)⁻⁴=в⁻²⁸
(а⁻³)⁷=а⁻²¹
kravcheko2011:
спасибо огромное )
Вас заинтересует
2 года назад
2 года назад
2 года назад
2 года назад
7 лет назад
7 лет назад
8 лет назад