• Предмет: Математика
  • Автор: JulieRey
  • Вопрос задан 3 года назад

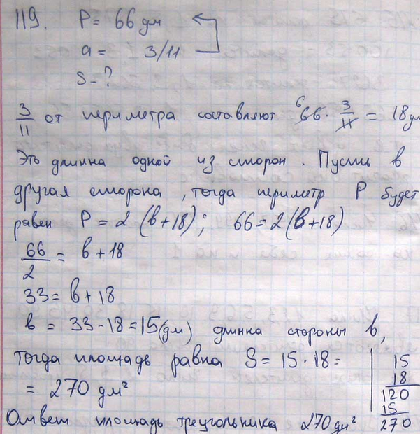
матемптика 6 класс виленкин номер 119

Ответы

Ответ дал: makarenkoksenija
3
Надеюсь, что это то, что нужно 
Приложения:

JulieRey: спасибо
Вас заинтересует