• Предмет: Алгебра
  • Автор: Bogemasuper
  • Вопрос задан 11 лет назад

Как разложить многочлен на множители? Объясните вообще не понимаю((

 

Приложения:

Ответы

Ответ дал: anyagryffindor
0

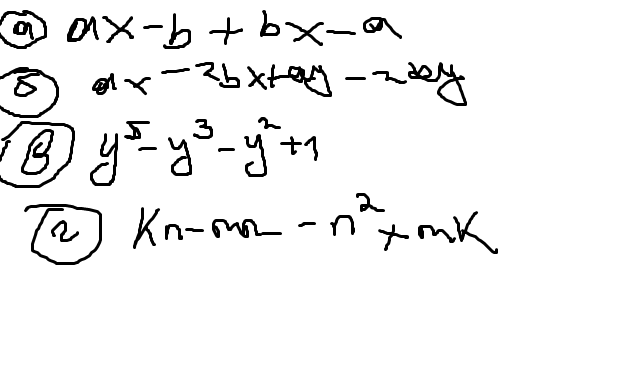
Рассмотрим первый пример.

ax-b+bx-a

смотришь где в этом примере есть одинаковые буквы, заключаешь в скобки так, чтобы можно было вынести за скобки общую букву или цифру.(при этом сохраняя знаки в скобках, но между скобками плюс)

(ax-a)+(-B+BX)

ТЕПЕРЬ ВЫНОСИШЬ ОБЩЕЕ ЧИСЛО

ИЗ СКОБКИ 1 В ОБОИХ ЧЛЕНАХ МНОГОЧЛЕНА ЕСТЬ А, ВЫНОСИШЬ ЕГО ЗА СКОБКИ, А ИЗ 2 СКОБКИ ЕСТЬ b 

a(x-1)+b(-1+X) у тебя получилось, но в скобках не одинаковые числа, а противоположные, значит ты должна поменять знаки между скобками, т.е. вынести минус за 2 скобку(поменять знаки)

a(x-1)-b(x-1)  теперь в скобках все одинаково, ты вносишь скобку и умножаешь на множители перед скобками в отдельной скобке (x-1)(a-b)

остальные сама сделай. не получится помогу только сообщение отправь

Вас заинтересует