• Предмет: Алгебра
  • Автор: AmyWinehouse
  • Вопрос задан 11 лет назад

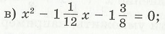
Решите уравнение по формуле корней и сделайте проверку по теореме,обратной теореме Виета:

 

уравнение на фото

Приложения:

Ответы

Ответ дал: Milli205
0

x^2-13/12x-11/8=0

24x^2-26x-33=0

D=676+3168=3844=62^2

x1=(26-62)/48=-36/48=-3/4

x2=88/48=22/12=11/6

по т Виета 

x1+x2=-3/4+11/6=-9/12+22/12=13/12

x1*x2=-3/4*11/6=-11/8

Вас заинтересует