• Предмет: Алгебра
  • Автор: FunRi
  • Вопрос задан 10 лет назад

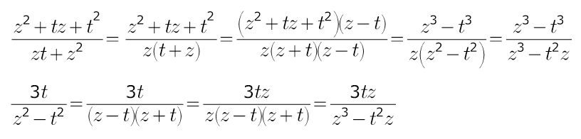
добрый вечер. помогите, пожалуйста

Приложения:

Ответы

Ответ дал: LFP
0
-----------------------------------------
Приложения:
Вас заинтересует