• Предмет: Алгебра
  • Автор: dhuffjjbcjkcs
  • Вопрос задан 10 лет назад

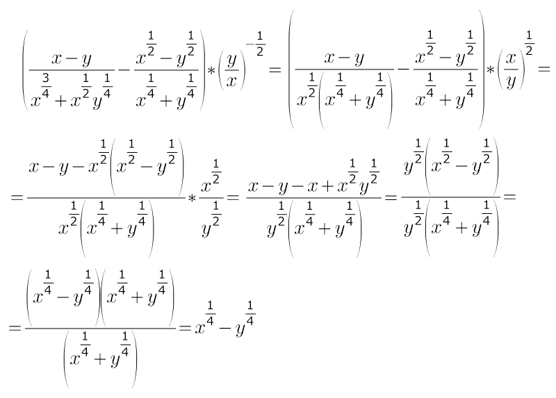
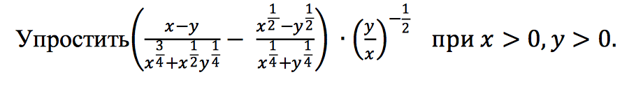
Помогите, пожалуйста! Алгебра 10 класс

Приложения:

Ответы

Ответ дал: LFP
0
-------------------------------------------
Приложения:
Вас заинтересует