• Предмет: Алгебра
  • Автор: pollyz
  • Вопрос задан 11 лет назад

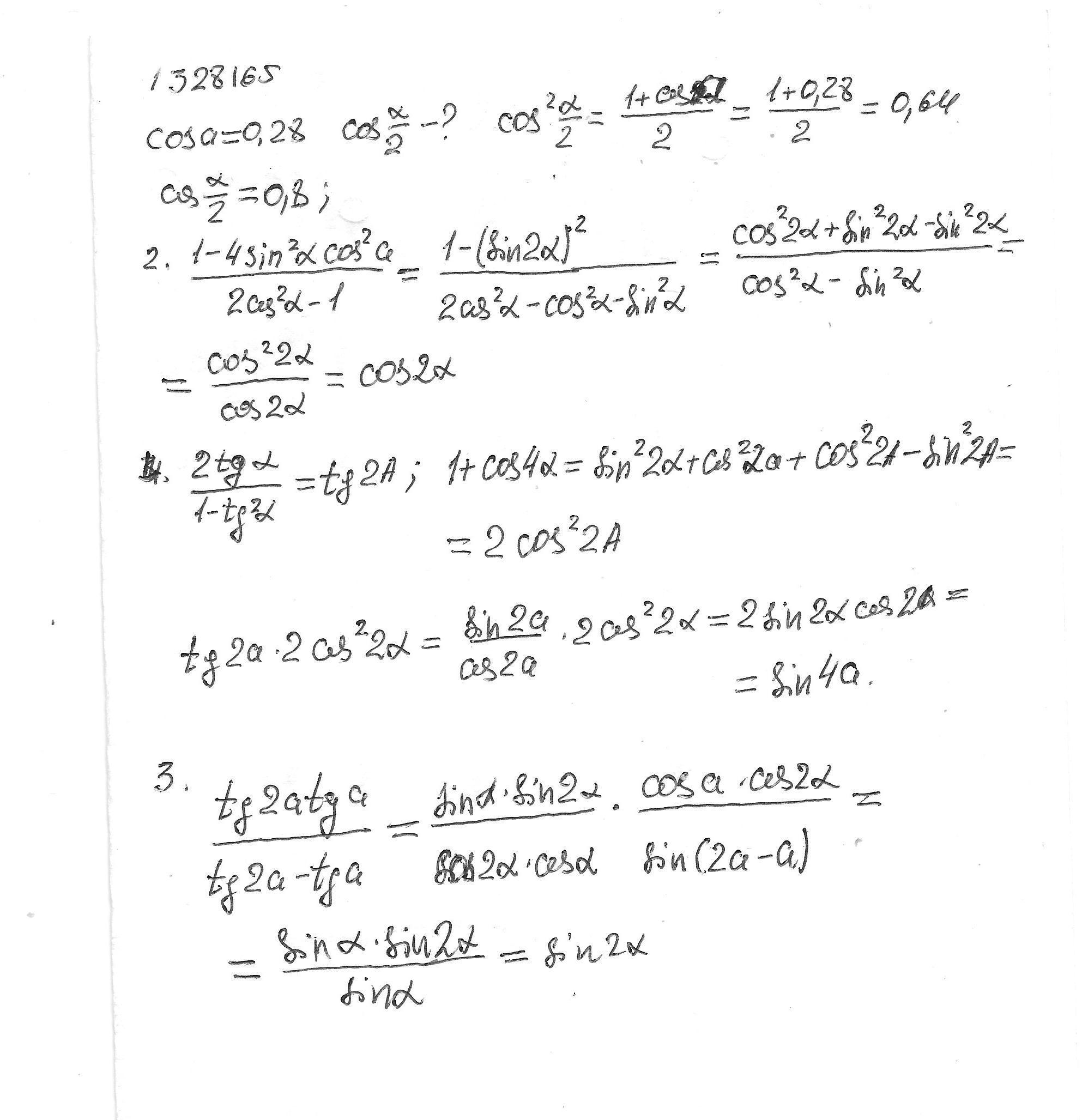
1) cos a=0.28 и a-угол 1 четверти. Найти cos a/2

2)1-4 sin^ 2 a cos^ a /2 cos^ 2 a-1= ...                  

3)tg 2a tg a/(tg 2a- tg a)= sin 2a доказать тождество

4)2 tg a/ 1-tg^ 2 *(1 + cos 4 a)=...                a-альфа

Ответы

Ответ дал: Гоша68
0
ответ поместил в файл......................................
Приложения:
Вас заинтересует