требуется помощь в решении системы! Постоянно прихожу к уравнению, которое не могу решить! Заранее спасибо!
Приложения:
Ответы
Ответ дал:
0
{x² -8y +31 =0 ;y² -2x -14 =0 .⇔{ y =(x²+31)/8 ; ( (x²+31)/8 )² -2x -14 =0,
( (x²+31)/8 )² -2x -14 =0,
x⁴+62x² +961 - 128x - 896 =0 ;
x⁴ +62x² - 128x +65 =0 ; || x=1 r
(x-1)(x³ +x²+63x -65) =0 ;
(x-1)²(x² +2x+65) =0
x =1⇒y =(x²+31)/8 =4.
x² +2x+65 =0 ;
x = -1± 8i недействительные решения (комплексные числа)
ответ : (1;4).
( (x²+31)/8 )² -2x -14 =0,
x⁴+62x² +961 - 128x - 896 =0 ;
x⁴ +62x² - 128x +65 =0 ; || x=1 r
(x-1)(x³ +x²+63x -65) =0 ;
(x-1)²(x² +2x+65) =0
x =1⇒y =(x²+31)/8 =4.
x² +2x+65 =0 ;
x = -1± 8i недействительные решения (комплексные числа)
ответ : (1;4).
Ответ дал:
0
(-1 -8i ; -4+2i) , ( -1+8i ; -4 -2i)
Ответ дал:
0
x² -8y +31+ y² -2x -14 =0 ⇔(x² -2x +1)+(y²+8y+16) =0 (x² -2x +1) +(y² -8y+16) =0⇔(x -1)² +(y -4)²=0⇒ {x-1 =0 ; y -4 =0. {x=1 ; y=4 .
Ответ дал:
0
а вот это вообще КРАСИВО!! Спасибо!!
Ответ дал:
0
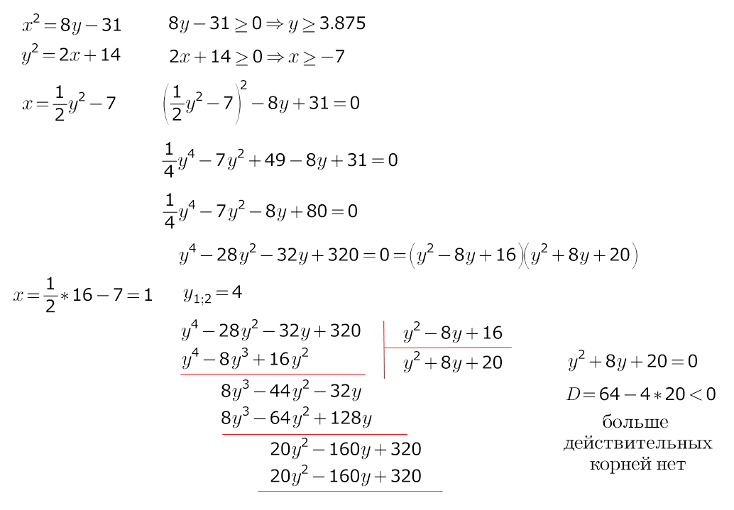
из ограничений для у
можно предположить, что у=4 --- это корень...
потом разделить многочлен на многочлен...
Ответ: (1; 4)
можно предположить, что у=4 --- это корень...
потом разделить многочлен на многочлен...
Ответ: (1; 4)
Приложения:
Вас заинтересует
3 года назад
8 лет назад
8 лет назад
10 лет назад
10 лет назад
11 лет назад