Ответы
Ответ дал:
0
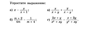
1)
приводим к общему знаменателю (т.е домножаем х на знаменатель дроби (х+1), получаем:

Мы получили 2 дроби с общем знаменателем, соответственно теперь можно их объединить, получим:

раскроем скобки:

Вычитаем подобные:

Это и есть ответ
Далее аналогично:
2)

3)
4)

приводим к общему знаменателю (т.е домножаем х на знаменатель дроби (х+1), получаем:
Мы получили 2 дроби с общем знаменателем, соответственно теперь можно их объединить, получим:
раскроем скобки:
Вычитаем подобные:
Это и есть ответ
Далее аналогично:
2)
3)
4)
Ответ дал:
0
Спасибо большое)
Вас заинтересует
3 года назад
3 года назад
8 лет назад
10 лет назад
10 лет назад
11 лет назад