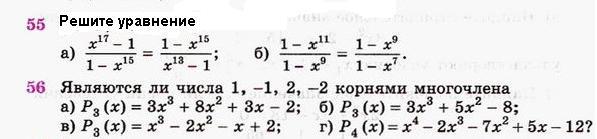
Выполните эти 2 номера (все пункты). Очень буду благодарен если вы запишите на листочке, сфотографируете и объясните как вы решили.
Приложения:
Ответа на этот вопрос пока нет. Попробуйте найти его через форму поиска.
Вас заинтересует
2 года назад
2 года назад
8 лет назад
8 лет назад
10 лет назад
10 лет назад
11 лет назад