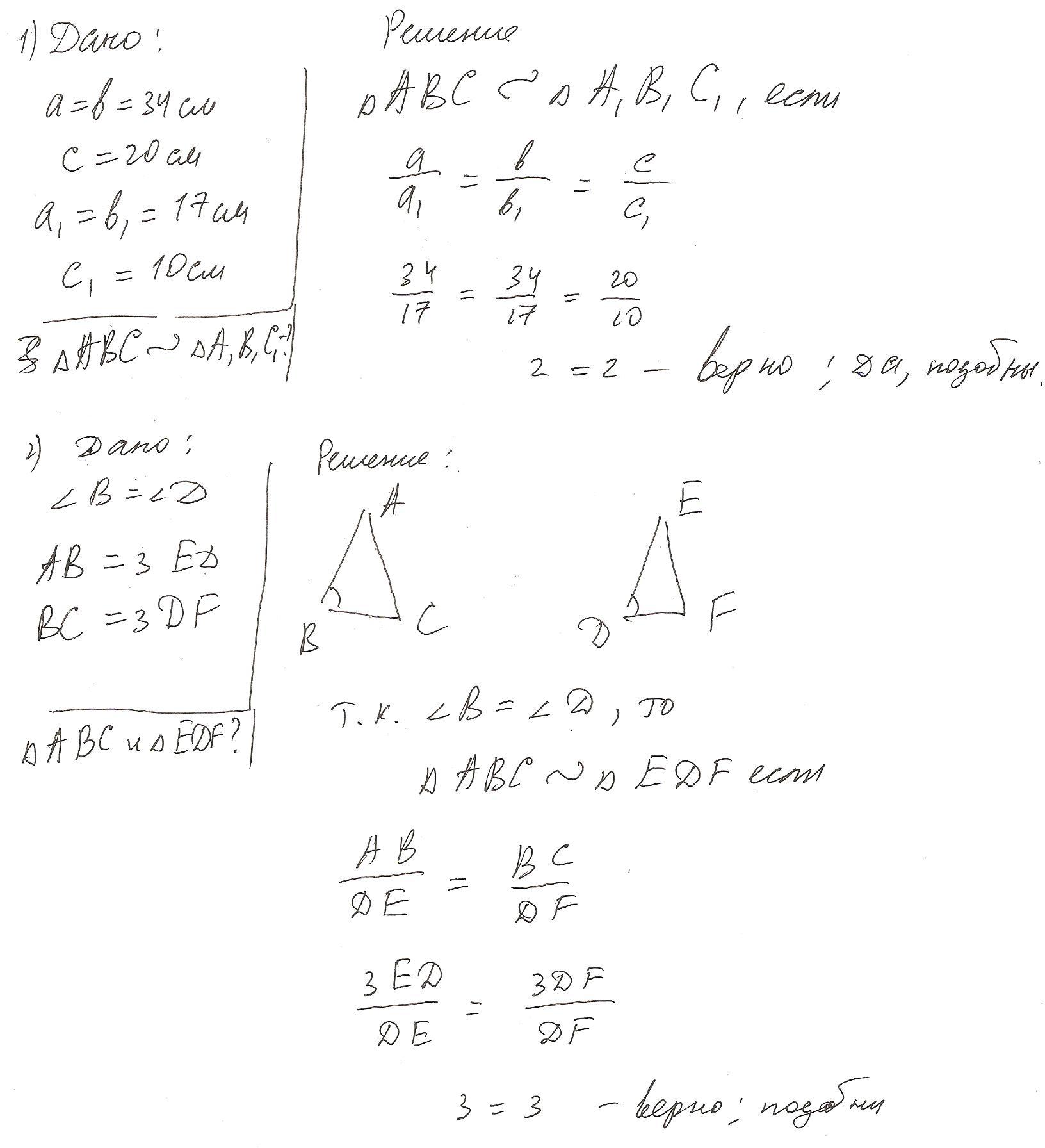
1) Боковая сторона и основание одного равнобедренного треугольника соответственно равны 34 см и 20 см, а другого- 17 см и 10 см определите подобны ли эти треугольники?
2)В треугольниках АВС и ЕDF Углы при вершинах В И D равны, а стороны АВ и ВС заключающие угол В сооответственно больше сторон ЕD и DF.заключающих угол D. в три раза, Определите подобны ли эти треугольники
помогите пожааалуйста только дано тож напишите
Ответы
Ответ дал:
0
надеюсь будет понятно...
Приложения:

Вас заинтересует
2 года назад
2 года назад
8 лет назад
8 лет назад
10 лет назад
10 лет назад