• Предмет: Алгебра
  • Автор: igorek034
  • Вопрос задан 11 лет назад

ПОМОГИТЕ!

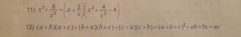
Верно ли тождество?

Вложения внутри)

Приложения:

Ответы

Ответ дал: ponaaa
0

10)x^3+8/x^3=(x+2/x)(x^2+4/x^2-4) (не верно: в правой части вместо (x^2+4/x^2-4) должно быть (x^2+4/x^2-2)

11)(a+b)(a+c)+(b+a)(b+c)+(c+a)(c+b)=(a+b+c)^2+ab+bc+ac (не верно: в правой части должно быть a^2+b^2+c^2+3(ab+bc+ac)

кенгуру))

 

 

Вас заинтересует