Ответы
Ответ дал:
0
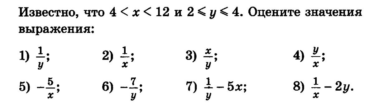
В этом задании нам нужно у каждого выражения найти минимальное значение и максимальное используя тот интервал, который задан для х и у (необходимо подставить концы интервала):
1)
при 
Значит минимальное значение этого выражения это
или 0.25 (это одно и тоже), а максимальное
или 0.5
Соответственно ответ: это выражение принадлежит интервалу [0,25;0,5]
Остальное делаем аналогично:
2)Обратите внимание на интервалы х и у, при у нестрогое неравенство, при х строгое
Ответ:(1/12;1/4)
3)Здесь будет такой интервал: (2;3)
4)(1/3;1/2)
5)(-5/4;-5/12)
6)[-7/2;-7/4]
7)(-59,75;-19,25)
8)((1/12)-8;-3,75)
Круглые скобки используют при строгих неравенствах, квадратные при нестрогих. Если есть вопросы, спрашивай
1)
Значит минимальное значение этого выражения это
Соответственно ответ: это выражение принадлежит интервалу [0,25;0,5]
Остальное делаем аналогично:
2)Обратите внимание на интервалы х и у, при у нестрогое неравенство, при х строгое
Ответ:(1/12;1/4)
3)Здесь будет такой интервал: (2;3)
4)(1/3;1/2)
5)(-5/4;-5/12)
6)[-7/2;-7/4]
7)(-59,75;-19,25)
8)((1/12)-8;-3,75)
Круглые скобки используют при строгих неравенствах, квадратные при нестрогих. Если есть вопросы, спрашивай
Вас заинтересует
3 года назад
3 года назад
8 лет назад
10 лет назад
10 лет назад
11 лет назад