• Предмет: Алгебра
  • Автор: Relltn228
  • Вопрос задан 10 лет назад

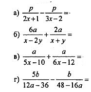
всем привет помогите решить с решением спасибо за это вы получите 24 балла

Приложения:

Ответы

Ответ дал: dbookerkst
0
\\\\\\\\\\\\\\
Приложения:
Ответ дал: Relltn228
0
нет надо что бы было так щас скину
Ответ дал: Relltn228
0
кароче надо что бы было сокращение общии знаминатель и т.д
Вас заинтересует