Ответы
Ответ дал:
0
х-7+х-5-х+5
х+7-х+5-х+5
Ответ дал:
0
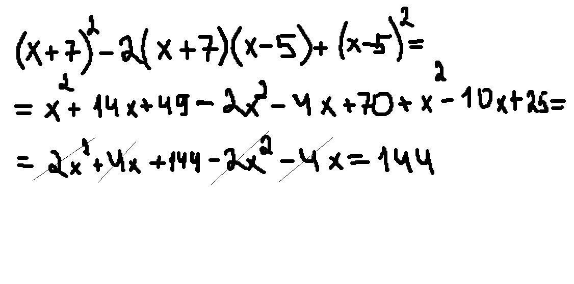
Решение во вложении.
Ответ:144.
Приложения:

Вас заинтересует
2 года назад
8 лет назад
10 лет назад
10 лет назад