25 БАЛЛОВ
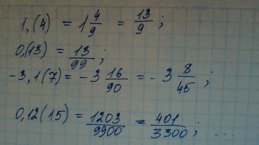
Представьте бесконечную периодическую десятичную дробь в виде обыкновенной: 1,(4) ; 0,(13) ; -3,1(7) ; 0,12(15).
Ответы
Ответ дал:
0
смотри внутри решение
Приложения:

Вас заинтересует
2 года назад
2 года назад
7 лет назад
10 лет назад
10 лет назад
10 лет назад