Ответы
Ответ дал:
0
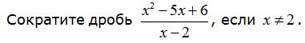
д=25-24=1
х1=5+1/2=3
х2=5-1/2=2
есть формула по которой квадратное утравнение можно разложить на множители а(х-х1)(х-х2)
(х-2)(х-3),запишем разложение в числитель,(х-2)сократится,остается х-3
х1=5+1/2=3
х2=5-1/2=2
есть формула по которой квадратное утравнение можно разложить на множители а(х-х1)(х-х2)
(х-2)(х-3),запишем разложение в числитель,(х-2)сократится,остается х-3
Вас заинтересует
3 года назад
3 года назад
8 лет назад
8 лет назад
10 лет назад
11 лет назад