• Предмет: Алгебра
  • Автор: 228хулиган228
  • Вопрос задан 10 лет назад

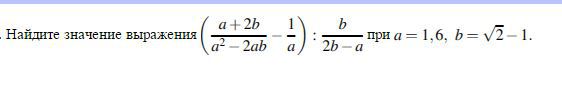
Ребята, помогите пожалуйста, даю 40 баллов

Приложения:

Ответы

Ответ дал: ВладимирБ
0
Решение смотри в приложении
Приложения:
Вас заинтересует