Ответы
Ответ дал:
0
Оно неправильно у тебя нарисовано.
Вот я варианты нарисовал (ПРАВИЛЬНЫЕ ВАРИАНТЫ)
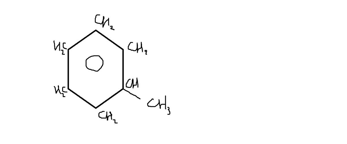
1 вариант - 3 - метилциклогексан
2 вариант - 3 - метилбензол
(это если начинать нумерацию сверху, как вариант)
Кружок - это размытые двойные связи в бензоле. Поэтому, шестиугольник с кругом и без - это разные вещества! (один бензол (с кругом), другой циклогексан). Именно от этого зависит что будет по углам CH или CH₂
Вот я варианты нарисовал (ПРАВИЛЬНЫЕ ВАРИАНТЫ)
1 вариант - 3 - метилциклогексан
2 вариант - 3 - метилбензол
(это если начинать нумерацию сверху, как вариант)
Кружок - это размытые двойные связи в бензоле. Поэтому, шестиугольник с кругом и без - это разные вещества! (один бензол (с кругом), другой циклогексан). Именно от этого зависит что будет по углам CH или CH₂
Приложения:
Вас заинтересует
3 года назад
3 года назад
8 лет назад
8 лет назад
10 лет назад
10 лет назад
11 лет назад