• Предмет: Математика
  • Автор: DarkPony
  • Вопрос задан 10 лет назад

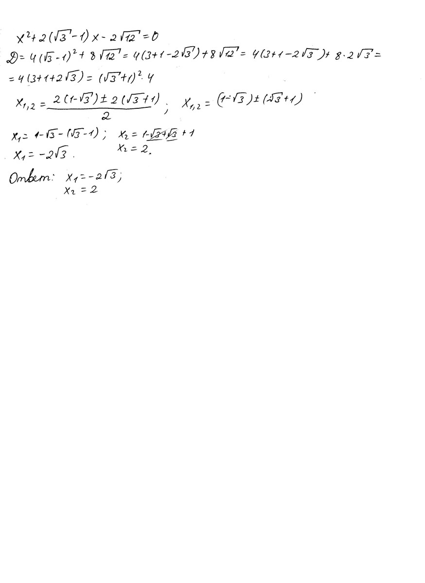
Решите уравнение плиз

Приложения:

Ответы

Ответ дал: bearcab
0
Решение в приложении.
Приложения:
Ответ дал: DarkPony
0
спасибо!
Вас заинтересует