• Предмет: Математика
  • Автор: катька52
  • Вопрос задан 10 лет назад

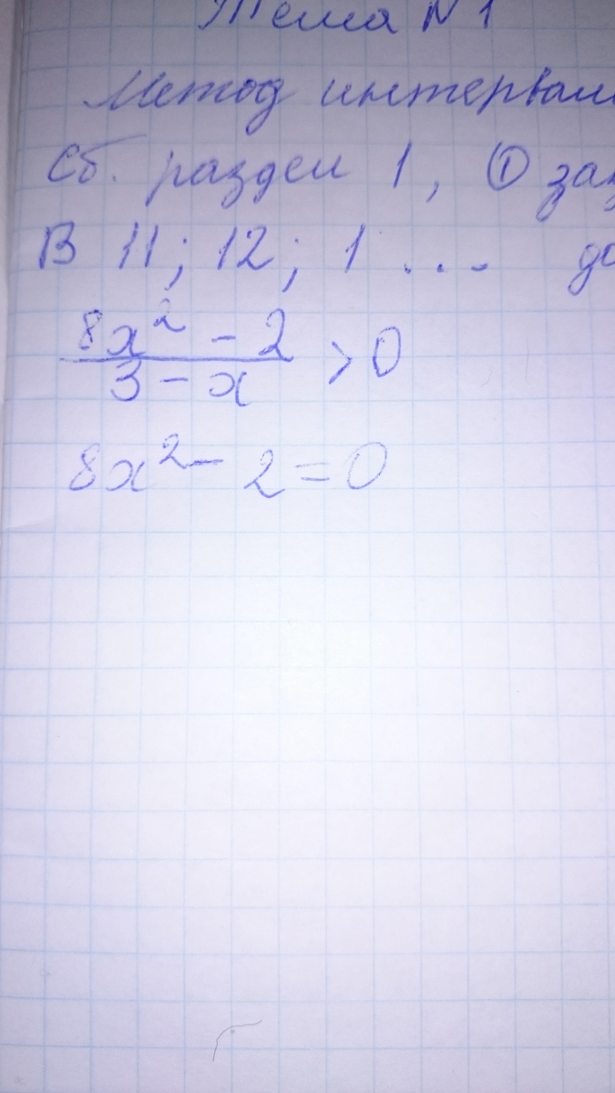
решите уравнение методом интервалов

Приложения:

Ответы

Ответ дал: Aлиnka69
0
8х в квадрате - 2 =0 ; 8(х в квадрате - 4)= 0 ; по формуле раскладываем (х-2)(х+2) ; корни будут 2 и -2 , и  тк знаменатель не равен 0 ,то -х неравно 3 , ответ х принадлежит (-2;2) ;(3; до бесконечности)
Вас заинтересует