• Предмет: Алгебра
  • Автор: Кристина9001
  • Вопрос задан 10 лет назад

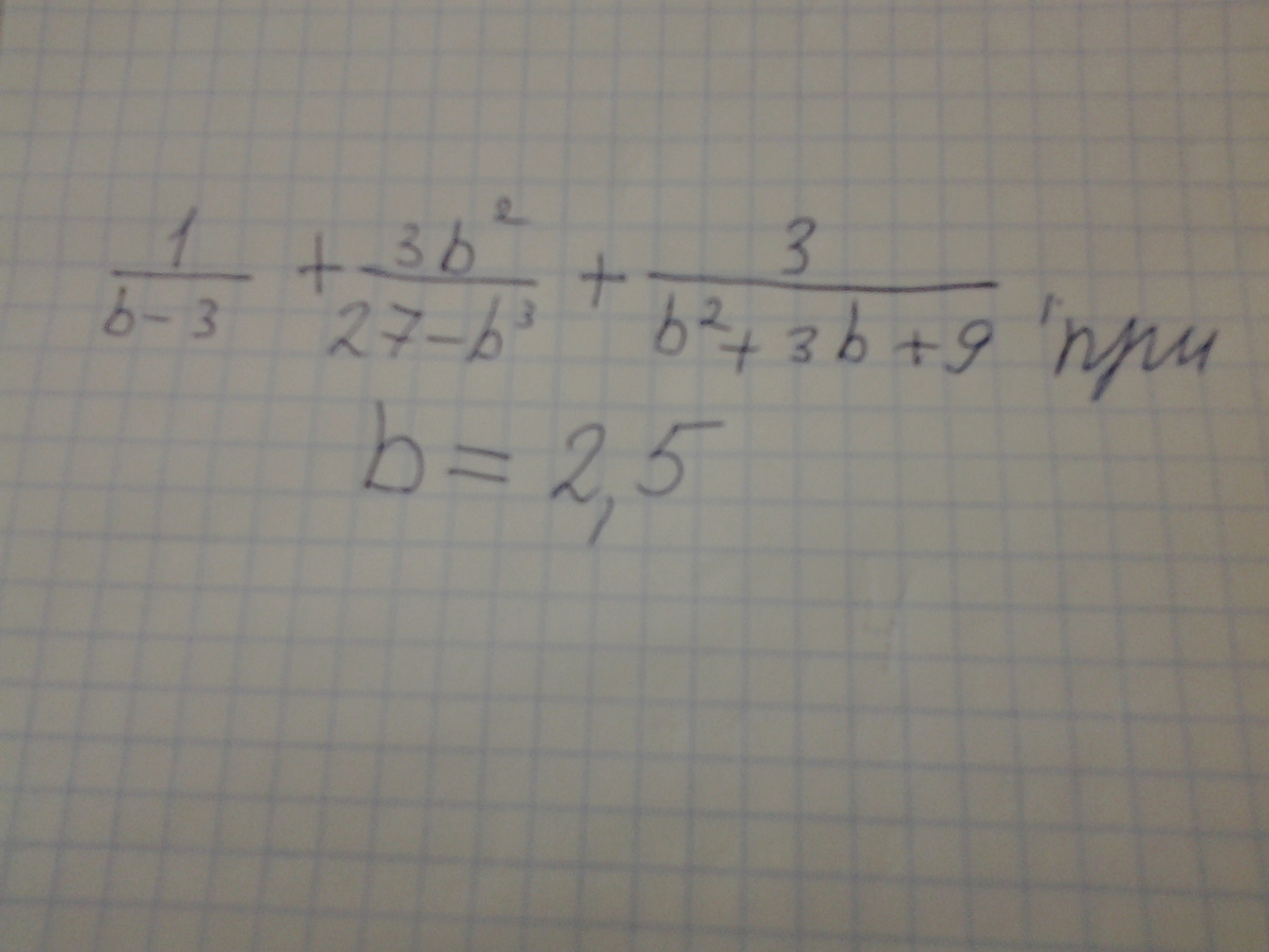
Помогите решить!! плиз!

Приложения:

Ответы

Ответ дал: CVita
0
 frac{1}{b-3}+ frac{3b^2}{27-b^3}+ frac{3}{b^2+3b+9}= frac{1}{b-3}- frac{3b^2}{b^3-27}+  frac{3}{b^2+3b+9}= \  \  frac{(b^2+3b+9)-3b^2+3(b-3)}{b^3-27}= frac{b^2+3b+9-3b^2+3b-9}{b^3-27}=-frac{2b^2+6b}{b^3-27}
Ответ дал: Кристина9001
0
большое спасибо
Ответ дал: CVita
0
владей!
Вас заинтересует