Ответы
Ответ дал:
0
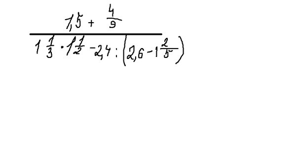
Дробь равна нулю тогда когда ее числитель равен нулю а знаменатель нет.
в данном случае знаменатель равен нулю,значит дробь не имеет смысла .
4/3*3/2-2,4/(2,6-1,4)=2-2,4/1,2=2-2=0
в данном случае знаменатель равен нулю,значит дробь не имеет смысла .
4/3*3/2-2,4/(2,6-1,4)=2-2,4/1,2=2-2=0
Вас заинтересует
3 года назад
8 лет назад
8 лет назад
10 лет назад
10 лет назад
11 лет назад
11 лет назад