• Предмет: Математика
  • Автор: olegsapronov33
  • Вопрос задан 10 лет назад

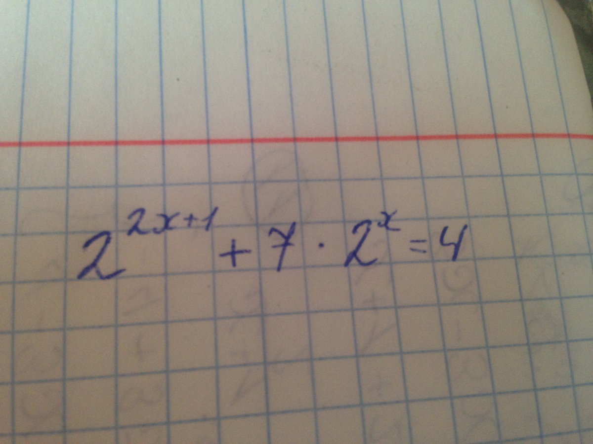
Решите уравнение на фото:

Приложения:

Ответы

Ответ дал: mukus13
0
 2^{2x+1} +7*2^x=4

 2^{2x+1} +7*2^x-4=0

2* 2^{2x} +7*2^x-4=0

Замена:   2^x=t,  t textgreater  0

2t^2+7t-4=0

D=7^2-4*2*(-4)=49+32=81

t_1= frac{-7+9}{4} = frac{1}{2}
t_2= frac{-7-9}{4} =-4 - не подходит

2^x= frac{1}{2}

2^x= 2^{-1}

x=-1

Ответ: -1


Ответ дал: olegsapronov33
0
Спасибо
Ответ дал: Казуляяяя
0
Помаги мне ....ПОЖАЛОСТОООО
Ответ дал: Казуляяяя
0
У меня на странице
Ответ дал: Казуляяяя
0
ПОЖАЛОСТОООО..........УМАЛЯЮ
Вас заинтересует