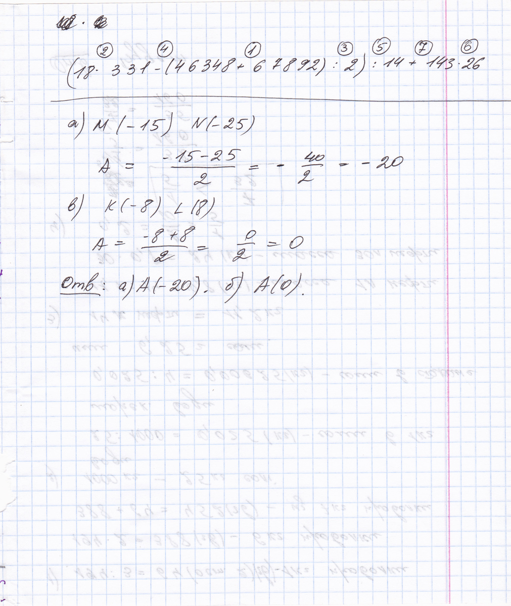
укажите координату центра точки А для каждой пары симметричных точек
а)M(-15) N(- 25)
b) K(-8) L(8)
С вычислением !
Ответы
Ответ дал:
0
фото
___________
____________
___________
____________
Приложения:

Ответ дал:
0
спасибо)
Ответ дал:
0
выручил
Вас заинтересует
2 года назад
7 лет назад
7 лет назад
10 лет назад
10 лет назад
10 лет назад