• Предмет: Алгебра
  • Автор: Kavalski
  • Вопрос задан 10 лет назад

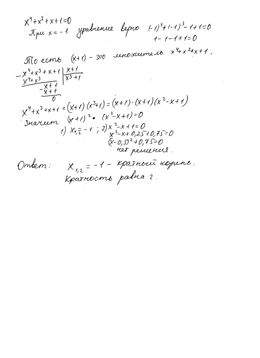
X^4+x^3+x+1=0
Помогите решить уравнение

Ответы

Ответ дал: bearcab
0
Решение в приложении.
Приложения:
Вас заинтересует