Ответы
Ответ дал:
0
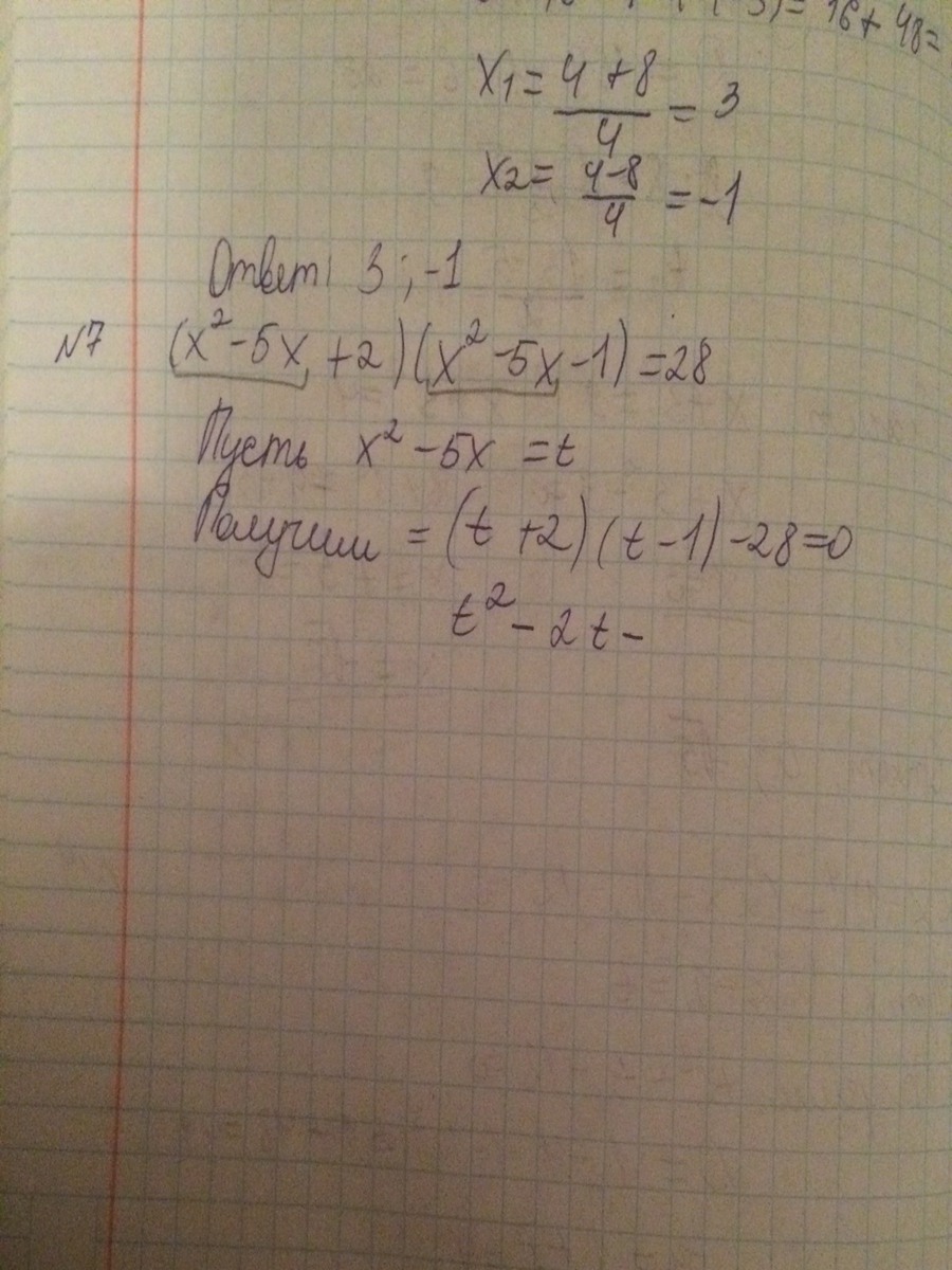
(t+2)(t-1)-28=0
t²-t+2t-2-28=0
t²+t-30=0
D=1+4*30=121
√D=11
t₁=(-1-11)/2=-6
t₂=(-1+11)/2=5
x₁²-5x=-6
x₁²-5x+6=0
D=25-4*6=1
x₁₁=(5-1)/2=2
x₁₂=(5+1)/2=3
x₂²-5x=5
x₂²-5x-5=0
D=25+4*5=45
√D=3√5
x₂₁=(5-3√5)/2
x₂₂=(5+3√5)/2
Ответ:3;2;(5-3√5)/2;(5+3√5)/2
t²-t+2t-2-28=0
t²+t-30=0
D=1+4*30=121
√D=11
t₁=(-1-11)/2=-6
t₂=(-1+11)/2=5
x₁²-5x=-6
x₁²-5x+6=0
D=25-4*6=1
x₁₁=(5-1)/2=2
x₁₂=(5+1)/2=3
x₂²-5x=5
x₂²-5x-5=0
D=25+4*5=45
√D=3√5
x₂₁=(5-3√5)/2
x₂₂=(5+3√5)/2
Ответ:3;2;(5-3√5)/2;(5+3√5)/2
Ответ дал:
0
т2 должно быть 5.
Ответ дал:
0
да, точно, спасибо, сейчас исправлю
Ответ дал:
0
т^2-т+2т-2-28=0
т^2+т-30=0
д=1-4×(-30)=121
т1=(-1-11)/2=-6
т2=(-1+11)/2=5
х^2-5х=-6
х^2-5х+6=0
д=25-4×6=1
х1=(5-1)/2=2
х2=(5+1)/2=3
х^2-5х=5
х^2-5х-5=0
д=25-4×(-5)=45
х3=(5-!/45)/2=(5-3!/5)/2
х4=(5+!/45)/2=5+3!/5)/2
!/ это знак корня
т^2+т-30=0
д=1-4×(-30)=121
т1=(-1-11)/2=-6
т2=(-1+11)/2=5
х^2-5х=-6
х^2-5х+6=0
д=25-4×6=1
х1=(5-1)/2=2
х2=(5+1)/2=3
х^2-5х=5
х^2-5х-5=0
д=25-4×(-5)=45
х3=(5-!/45)/2=(5-3!/5)/2
х4=(5+!/45)/2=5+3!/5)/2
!/ это знак корня
Вас заинтересует
3 года назад
8 лет назад
10 лет назад