• Предмет: Математика
  • Автор: pencil2299
  • Вопрос задан 10 лет назад

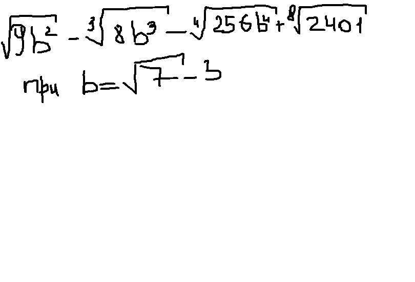
помогите пожалуйста!!!!!!

Приложения:

Ответы

Ответ дал: DariosI
0
 sqrt{(3 b)^{2} } - sqrt[3]{ (2b)^{3} }- sqrt{2566^{2}}  +sqrt[4]{7 ^{4} }  =3b-2b-2566+7=b-2559
b-2599=√7-3-2559=√7-2562
Вас заинтересует