• Предмет: Алгебра
  • Автор: King3gp
  • Вопрос задан 10 лет назад

Пожалуйста обьясните как это решить!!! Очень прошу

Приложения:

Ответы

Ответ дал: njhieyjdf
0
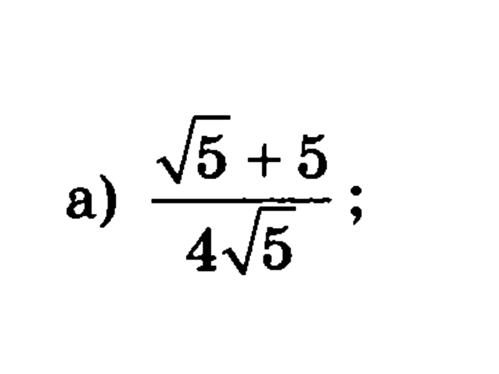
5= sqrt{5} * sqrt{5}
Поэтому

frac{ sqrt{5}+5}{4 sqrt{5} }= frac{ sqrt{5}(1+ sqrt{5}) }{4  sqrt{5} }= frac{1+ sqrt{5}} 4
Ответ дал: King3gp
0
Можешь пожалуйста обьяснить как ты 5 заменил на (1+корнеь из 5)
Ответ дал: njhieyjdf
0
Мы выносим общий множитель √5,получается √5(1+√5) . Если выполнить проверку,раскрыв скобки,то получится первоначальное выражение √5*1+√5*√5=√5+5
Ответ дал: King3gp
0
Понял спасибо)
Ответ дал: njhieyjdf
0
рада была помочь)
Вас заинтересует