• Предмет: Математика
  • Автор: ати1лилу
  • Вопрос задан 10 лет назад

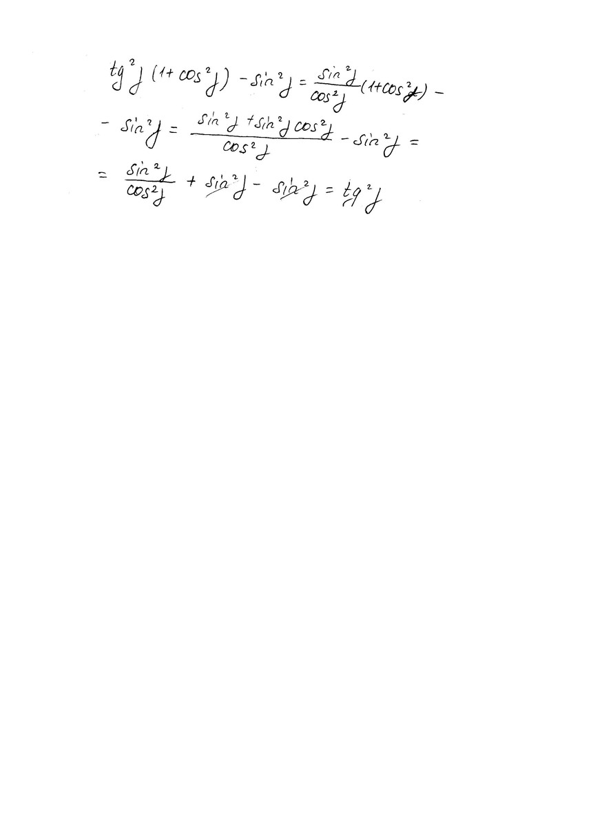
tg^2гамма(1+cos2гамма)-sin^2гамма

Ответы

Ответ дал: bearcab
0
Решение в приложении.
Приложения:
Вас заинтересует