Ответы
Ответ дал:
0
Решение смотри в приложении
Приложения:
Ответ дал:
0
огромное спасибо)
Ответ дал:
0
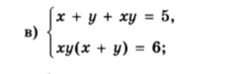
{(x+y)+xy=5
{(x+Y)*xy=6
x+y=a U xy=b
a+b=5 U a*b=6
применим теорему Виета
a=2,b=3 или a=3,b=2
1)x+y=2 U xy=3
x=2-y
2y-y²-3=0
y²-2y+3=0
D=4-12=-8<0 нет решения
2)x+y=3 U xy=2
x=1,y=2 или x=2,y=1
Ответ (1;2);(2;1)
{(x+Y)*xy=6
x+y=a U xy=b
a+b=5 U a*b=6
применим теорему Виета
a=2,b=3 или a=3,b=2
1)x+y=2 U xy=3
x=2-y
2y-y²-3=0
y²-2y+3=0
D=4-12=-8<0 нет решения
2)x+y=3 U xy=2
x=1,y=2 или x=2,y=1
Ответ (1;2);(2;1)
Приложения:
Вас заинтересует
3 года назад
3 года назад
8 лет назад
8 лет назад
10 лет назад
11 лет назад