• Предмет: Алгебра
  • Автор: Up9chka
  • Вопрос задан 11 лет назад

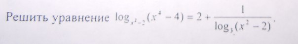
решить уравнение log см.фото

Приложения:

Ответы

Ответ дал: Yena
0

////////////////////////////////////////////////////////////////////

Приложения:
Вас заинтересует