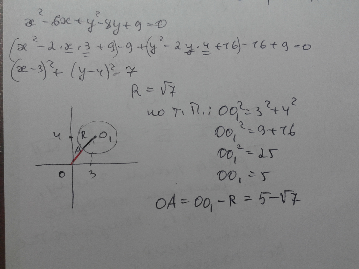
Найти расстояние от начала координат до окружности x^2 -6x + y^2 - 8y + 9=0. У меня центр окружности получился (3;4), но расстояние до центра не спрашивают.
Ответы
Ответ дал:
0
Всё подробно написала в решении.
Приложения:

Вас заинтересует
2 года назад
2 года назад
7 лет назад
7 лет назад
10 лет назад
10 лет назад