• Предмет: Математика
  • Автор: Учёная55555
  • Вопрос задан 10 лет назад

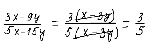
3х-9у
--------
5х-15у
Сократить

Ответы

Ответ дал: alexxxx1
0
3x-9y 3(x-3y) 3
--------- = --------- = ---- = 0,6
5x-15y 5(x-3y) 5
Ответ дал: dvoreckayai
0
3(х-3у)  = =  0,6
5(х-3у)     5
Приложения:
Ответ дал: Учёная55555
0
ооооо,у меня тоже такое решение) просто хотелось убедиться))
Ответ дал: alexxxx1
0
рад, что помог))
Вас заинтересует