• Предмет: Алгебра
  • Автор: DERZKAI
  • Вопрос задан 10 лет назад

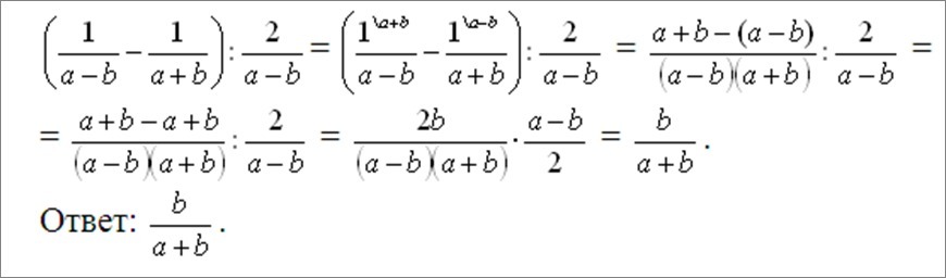
упростите выражение (1 /a-b - 1/a+b) : 2/a-b

Ответы

Ответ дал: Аноним
0

displaystyle bigg(frac{1}{a-b}-frac{1}{a+b}bigg):frac{2}{a-b}=frac{a+b-a+b}{(a-b)(a+b)}:frac{2}{a-b}=frac{2b}{(a-b)(a+b)}cdotfrac{a-b}{2}=\ \ =frac{2b(a-b)}{2(a-b)(a+b)}=frac{b}{a+b}

Ответ дал: Санечка69
0

См. решение на рисунке

Приложения:
Вас заинтересует